alright so i got my car running but its throwing some codes..
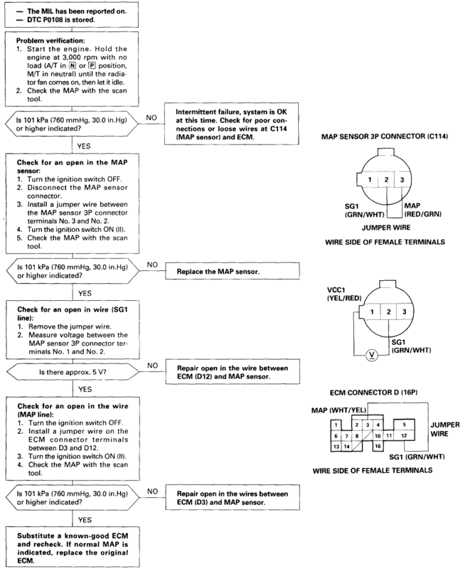
- P0108 Manifold Absolute Pressure (MAP) Sensor Circuit High Voltage
why would it have a high voltage signal
- P1337 Engine Speed (RPM) Fluctuation Sensor No Signal
&& wtf is that..
HELP plz!..
thx





..
Reply With Quote


.. 96 ek hb w/ a gzr






