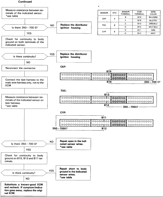
ok i need help. i just put a b series swap into a 92 eg hatch. every code has been fixed,but this is the only code it is throwin which is code 8. i have replaced the distubtor,new spark plugs and wires, did the timin again,,and again,used 3 different ecu. this is the first time i have ever had this promblem, i have done plenty of swaps




Reply With Quote



